首页
通知公告
侨联概况
新闻中心
经济科技
维护侨益
海外联谊
参政议政
文化交流
社会建设
基层建设
您所在的位置:
首页
>
新闻中心
>
通知公告
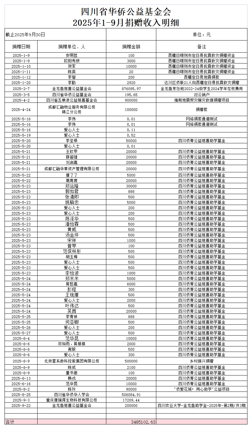
四川省华侨公益基金会2025年1-9月捐赠收入明细,物资接收使用公示
作者【 】
【发布时间:2025-10-20】
【来源: 】
字体【
大
中
小
】
四川省华侨公益基金会2025年1-9月捐赠收入明细,物资接收使用公示
0:00:00
0:00:00
附件下载:
分享到:
0
打印
关闭
其他省市侨联
北京
黑龙江
内蒙古
宁夏
陕西
贵州
海南
广东
山东
福建
浙江
吉林
山西
重庆
上海
青海
甘肃
云南
广西
湖南
河南
江西
安徽
江苏
辽宁
河北
天津
澳门
香港
湖北
台湾
新疆
青海
西藏
新疆生产建设兵团
Copyright 2014 www.scql.gov.cn All Rights Reserved
网站声明
|
网站地图
|
联系我们
网站备案:
蜀ICP备14019493号
版权所有:四川省归国华侨联合会 技术支持:四川省侨联宣传网络中心